English
全部
搜索
图片
视频
短视频
地图
资讯
更多
购物
航班
旅游
笔记本
报告不当内容
请选择下列任一选项。
无关
低俗内容
成人
儿童性侵犯
时长
全部
短(小于 5 分钟)
中(5-20 分钟)
长(大于 20 分钟)
日期
全部
过去 24 小时
过去一周
过去一个月
去年
清晰度
全部
低于 360p
360p 或更高
480p 或更高
720p 或更高
1080p 或更高
源
全部
Dailymotion
Vimeo
Metacafe
Hulu
VEVO
Myspace
MTV
CBS
Fox
CNN
MSN
价格
全部
免费
付费
清除筛选条件
安全搜索:
中等
严格
中等(默认)
关闭
筛选器
pythonmorsels.com
Local and global variables in Python
Within a function in Python, you can read from global variables and read from or write to local variables. Within each function, each variable name is either local or global (but not both).
2021年1月26日
Python Tutorial
Welcome To The Python Tutorial
python.land
2025年1月31日
1:33
Python Tutorial For Beginners
intellipaat.com
已浏览 8.8万 次
4 个月之前
Python Basics: Introduction to Python (Learning Path) – Real Python
realpython.com
2022年8月17日
热门视频
1:30
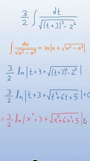
4.8K views · 125 reactions | Calculemos la Integral de la siguiente Función Racional que también una Función Radical en el Denominador, mediante el cambio de diversas variable y posteriormente aplicar una de las fórmulas de Integración Inmediata. #matemática #INTEGRALES #educacion #cálculointegral #analisismatematico | Aprende Matemáticas Fácilmente | Facebook
Facebook
Aprende Matemáticas
已浏览 1605 次
1 周前
1:01
Hay una función oculta que puede revitalizar tu viejo televisor y convertirlo en un Smart TV. #Tecnología #ConsejoOculto #SmartTV #OldTV #USB | Dicas Genial
Facebook
Dicas Genial
已浏览 57.8万 次
2 个月之前
10:11
Local and Global Variables in Python (Video 21)
humix.com
已浏览 21 次
2021年11月15日
Python Projects
10 Beginner Python Projects to Boost Your Programming Skills [VIDEO]
coursera.org
已浏览 251 次
5 个月之前
10:00
15 Python Projects: From Beginner To Full-Stack - Comp Sci Central
compscicentral.com
2020年6月26日
15 Unique Python Projects For Beginners With Source Code - 2026 - Machine Learning Projects
machinelearningprojects.net
2023年6月6日
1:30
4.8K views · 125 reactions | Calculemos la Integral de la siguie
…
已浏览 1605 次
1 周前
Facebook
Aprende Matemáticas Fácilmente
1:01
Hay una función oculta que puede revitalizar tu viejo televisor y conv
…
已浏览 57.8万 次
2 个月之前
Facebook
Dicas Genial
10:11
Local and Global Variables in Python (Video 21)
已浏览 21 次
2021年11月15日
humix.com
0:44
24K views · 872 reactions | Te explico lo que es una variable y có
…
已浏览 9505 次
3 周前
Facebook
Pildoras de programación
Write python program that domonstrates the of global and lo
…
已浏览 5329 次
2025年2月23日
askfilo.com
4:09
174K views · 1.3K reactions | Hoy hemos acompañado a nuestros co
…
已浏览 17.4万 次
3 周前
Facebook
Emergencias Sevilla
2:33
Local and global variable in python
5 个月之前
YouTube
FreshCode
6:27
Local vs Global Variables (Don’t Mess This Up)
已浏览 1 次
1 个月前
YouTube
Code & Learn with Umair
1:52
Understanding Variable Scope in Python: A Beginner's Guide to Glo
…
5 个月之前
YouTube
vlogize
2:47
Global and Local Variables in Python
2 个月之前
YouTube
Aleksandr Sivach
0:51
Global and Local Variables in Python
已浏览 48 次
2 个月之前
YouTube
Grok Programming
0:16
local vs global variable #function #python
已浏览 305 次
1 个月前
YouTube
Enjoy Healthy Code
0:08
Python locals() in 08 Seconds 🚀 See Inside Any Function |Python Func
…
已浏览 80 次
1 个月前
YouTube
Bogura Coders Hub
7:47
Python tutorial: Variable Scopes & Namespaces - global/local/nonloc
…
已浏览 2.8万 次
2021年7月8日
YouTube
Sreekanth
Funciones Locas en Python: ¡Evita los Errores!
已浏览 3.1万 次
2024年1月11日
TikTok
linkfydev
9:32
Curso Python 🐍| Variables en Python, Cómo nombrar variables y asigna
…
已浏览 6967 次
2022年6月24日
YouTube
Tecno Hobbies
[24] Global, Local, Nonlocal Variables in Python | Python for B
…
已浏览 5652 次
2020年9月24日
YouTube
CodingX
4.6 Variável Local - Funções (Parte 2) - Tutorial de Python 3 em Portu
…
已浏览 1.2万 次
2017年1月27日
YouTube
Abel Separovich
9.4 Ejercicio Bucle For | Contador y Acumulador | Programar desde ce
…
已浏览 7.6万 次
2020年4月9日
YouTube
Piogram
FUNCTIONS IN PYTHON | LOCAL AND GLOBAL VARIABLES | PYTH
…
已浏览 1238 次
2021年12月2日
YouTube
ITS InfoTechSkills
Python Tutorial for Beginners 55 - Global, Local and Nonlocal variabl
…
已浏览 1.4万 次
2018年10月23日
YouTube
ProgrammingKnowledge
0:05
python on Instagram: "Local variables exist only during the fun
…
已浏览 8.9万 次
2024年6月3日
Instagram
pythontellguru.py
9:47
python基础 13 全局 & 局部变量, global & local (教学教程tutorial)
已浏览 4.2万 次
2016年5月26日
YouTube
Morvan Zhou
15:53
IHSS: S.A.S. y S.P.S
已浏览 1.4万 次
2020年5月14日
YouTube
Jose Maria Nataren Vasquez
4:01
PingFederate
已浏览 3.7万 次
2020年11月13日
YouTube
Ping Identity TV
3:23
Funciones Constantes
已浏览 35万 次
2014年8月8日
YouTube
Tutor Expertos
5:22
Java - Local Variables
已浏览 4.1万 次
2018年1月18日
YouTube
TutorialsPoint
13:19
GLOBAL & LOCAL VARIABLE - PYTHON PROGRAMMING
已浏览 9.8万 次
2018年10月6日
YouTube
Sundeep Saradhi Kanthety
2:18
Trompa de Eustaquio
已浏览 12.9万 次
2015年1月27日
YouTube
Dr Tulp
观看更多视频
更多类似内容
反馈